website page counter
New Bliss Logo

Derivada De Raiz Cuadrada De X


Derivada De Raiz Cuadrada De X

La resolución de la derivada de una raíz sigue el mismo método que la de una derivada de una potencia, pues hay que tener en cuenta que la raíz enésima es la función inversa de la enésima potencia, es decir:

Y=x^n y = xn.

X=y^ {1/n} x = y1/n.

Es decir, llevado a radicales (raíces):

\sqrt [n] {x}=x^ {1/n.

Cálculo hallar la derivada f (x)= ( raíz cuadrada de x) ( raíz cúbica de x) f (x) = (√x)( 3√x) f ( x) = ( x) ( x 3) reescriba la expresión usando el mínimo común índice de 6 6.

Toca para ver más pasos.

D dx [ 6√x3 6√x2] d d x [ x 3 6 x 2 6] combina usando la regla del producto para radicales.

D dx [ 6√x3x2] d d x [ x 3 x 2 6]

Calculamos la derivada de la raíz cuadrada de seno de x

Fórmula de la derivada de una raíz.

La derivada de una raíz, o función irracional, es igual a la derivada del radicando (expresión bajo el radical) dividida entre el producto del índice de la raíz por la misma raíz restándole 1 al exponente del radicando.

Sin embargo, si el radicando de la raíz es solamente una x, la fórmula se.

La calculadora de derivadas te permite calcular en línea derivadas de funciones — ¡gratis!

Nuestra calculadora te permite verificar tus soluciones a ejercicios de cálculo.

Te ayuda a practicar mostrándote el procedimiento completo (diferenciación paso a paso).

About press copyright contact us creators advertise developers terms privacy policy & safety how youtube works test new features press copyright contact us creators.

Volviendo a la raíz cuadrada, si esta afectara a una función, la derivada se calcularía de la siguiente forma:

Es decir, deberíamos añadir al cálculo anterior la derivada de la función sobre la cual se está calculando la raíz cuadrada (ver nuestro artículo de derivada de una potencia).

Ejemplos de derivada de raíz cuadrada

Y = 4√x y = 4 x.

Reescribe √x x como x1 2 x 1 2.

D dx [4x1 2] d d x [ 4 x 1 2] dado que 4 4 es constante respecto a 4x1 2 4 x 1 2, la derivada de x x respecto a 4x1 2 4 x 1 2 es x x.

4 d dx [x1 2] 4 d d x [ x 1 2]

Esto se puede escribir de diferentes formas:

Comprobando su trabajo hay un par de formas diferentes en las que podemos verificar nuestro trabajo cuando se trata de derivados.

El primero trata de la definición de una derivada utilizando límites.

Cálculo ejemplos problemas populares cálculo halle la antiderivada raíz cuadrada de x √x x escriba el polinomio como una función de x x.

F (x) = √x f ( x) = x la función f (x) f ( x) puede encontrarse hallando la integral indefinida de la derivada f (x) f ( x).

F (x) = ∫ f (x)dx f ( x) = ∫ f ( x) d x configure la integral a resolver.

Derivamos la función raiz cuadrada de x no te pierdas nuestro curso aprende a derivar desde cero:

Download & view derivada de raiz quadrada de x as pdf for free.

Exercício de derivada vamos assumir a função:

F (x)=√ x aplicaremos, então, o conceito de derivada:

F (x+δ x )−f ( x ) δx f ' (x)= lim agora, vamos substituir os termos:

√ x+δ x− √ x f ' (x)= lim δx mas, para podermos aplicar o limite, o δx não pode ficar.

Derivar con raíz cuadrada│ejercicio 1 - YouTube

Derivada De Raiz Cuadrada De X 21. Demostración de Derivada de raíz cuadrada de x usando la definición  como límite - YouTube
Derivada De Raiz Cuadrada De X Derivative of 1 between square root of x (converting to negative fractional  exponent) - YouTube
Derivada De Raiz Cuadrada De X derivada de una raiz cuadrada - Derivative Of A Square Root - YouTube
Derivada De Raiz Cuadrada De X Derivadas - Raiz cuadrada - YouTube
Derivada De Raiz Cuadrada De X Derivative of 1 between x by root of x (converting to negative fractional  exponent) - YouTube
Derivada De Raiz Cuadrada De X 3 formas de derivar la raíz cuadrada de X - wikiHow
Derivada De Raiz Cuadrada De X iEnciclotareas - DERIVADA DE UNA RAIZ CUADRADA -EJERCICIOS RESUELTOS -  Parte 1- iEnciclotareas | Facebook
Derivada De Raiz Cuadrada De X Derivada de una raíz | Ejemplo 2 - YouTube
Derivada De Raiz Cuadrada De X Math2me - DERIVADA con RAÍZ y base X - Desde Cero | Facebook | By Math2me |  El #profeandalon te explica las bases que debes dominar antes de empezar a  derivar funciones
Derivada De Raiz Cuadrada De X derivada de una raiz cuadrada - YouTube
Derivada De Raiz Cuadrada De X 4. Derivadas por Definición de Límite - Función Radical | Cuarta clase de  derivadas por definición en la que solucionaremos la derivada de una  función Radical. | By Matemáticas | 4.5K views,
Derivada De Raiz Cuadrada De X DERIVADA DE RAÍZ CÚBICA DE "X" A PARTIR DE LA DEFINICIÓN DE DERIVADA. -  YouTube
Derivada De Raiz Cuadrada De X Derived from a square root with division (Logarithm method) (Logarithmic  derivation) - YouTube
Derivada De Raiz Cuadrada De X DERIVADA DE UNA RAIZ CUADRADA - YouTube | Raiz cuadrada, Matematicas,  Ejercicios resueltos
Derivada De Raiz Cuadrada De X Cálculo de derivadas - Derivación | Coursera
Derivada De Raiz Cuadrada De X iEnciclotareas - DERIVADA DE UNA RAIZ CÚBICA - EJERCICIOS RESUELTOS - Parte  3 | Facebook
Derivada De Raiz Cuadrada De X Derivative of the cube root of a division - YouTube
Derivada De Raiz Cuadrada De X iEnciclotareas - DERIVADA DE UNA RAIZ CUADRADA - EJERCICIOS RESUELTOS -  Parte 2- iEnciclotareas | Facebook
Derivada De Raiz Cuadrada De X Ejercicios de derivada
Derivada De Raiz Cuadrada De X Derivada de la raíz de una raíz - Matemáticas IES
Derivada De Raiz Cuadrada De X DERIVADA de una función EXPONENCIAL - ejercicio con raíz cuadrada - YouTube
Derivada De Raiz Cuadrada De X Raíz cuadrada - Raíz cuadrada Ir a la navegación Ir a la búsqueda Expresión  matemática de "Raíz - StuDocu
Derivada De Raiz Cuadrada De X Tareas Wiki - Derivada de un producto (uv) | Facebook | By Tareas Wiki |  Derivada de un producto (uv) #Derivadas #Matemáticas
Derivada De Raiz Cuadrada De X 1
Derivada De Raiz Cuadrada De X Derivada de raiz cuadrada
Derivada De Raiz Cuadrada De X Calaméo - Formulas De Derivadas
Derivada De Raiz Cuadrada De X Derivada De Una Raiz Youtube – Otosection
Derivada De Raiz Cuadrada De X Derivada De Una Raiz Youtube – Otosection
Derivada De Raiz Cuadrada De X Cuál es la derivada de 1/x raíz cuadrada de x? - Brainly.lat
Derivada De Raiz Cuadrada De X EJERCDERIV | PDF | Derivado | Logaritmo
Derivada De Raiz Cuadrada De X Ejemplo resuelto: derivada de √(3x²-x) con la regla de la cadena (video) |  Khan Academy
Derivada De Raiz Cuadrada De X Tabla de integrales de funciones irracionales - Derivadas
Derivada De Raiz Cuadrada De X 10 ideas de Álgebra desde cero | álgebra, thing 1, raiz cubica
Derivada De Raiz Cuadrada De X Raíz cuadrada - Wikipedia, la enciclopedia libre
Derivada De Raiz Cuadrada De X Derivada | Regla de la regla de la cadena con raíz cuadrada | Ejercicio 1 |  La Prof Lina M3 - YouTube
Derivada De Raiz Cuadrada De X Hallando la derivada: d/dx... - Física Matemáticas al límite | Facebook
Derivada De Raiz Cuadrada De X 5-Derivadas Funciones Trigonometricas Inversas | PDF | Trigonometría |  Derivado
Derivada De Raiz Cuadrada De X Derivada De Una Raiz Ejemplo 2 – Otosection
Derivada De Raiz Cuadrada De X Calcular usando derivadas y aproximación de la raíz cuadrada de 105. -  Brainly.lat
Derivada De Raiz Cuadrada De X profeandalon - Twitter Search / Twitter
Derivada De Raiz Cuadrada De X 6 formas de calcular la derivada de algunas funciones básicas
Derivada De Raiz Cuadrada De X 2
Derivada De Raiz Cuadrada De X Apuntes de Derivadas - Docsity
Derivada De Raiz Cuadrada De X Calcular derivadas | Khan Academy
Derivada De Raiz Cuadrada De X Derivada por Definición - Ej.5 (Raíz Cúbica) - YouTube
Derivada De Raiz Cuadrada De X cómo se hace?Derivada de raíz cuadrada​ - Brainly.lat
Derivada De Raiz Cuadrada De X Formulas Derivadas | PDF
Derivada De Raiz Cuadrada De X 2
Derivada De Raiz Cuadrada De X derivada de
Derivada De Raiz Cuadrada De X 32 ideas de Calculo | inecuaciones, trinomio, ecuaciones
Derivada De Raiz Cuadrada De X Derivada De Una Raiz Cuadrada Derivative Of A Square – Otosection
Derivada De Raiz Cuadrada De X Cómo calcular derivadas: 15 Pasos (con imágenes)
Derivada De Raiz Cuadrada De X Derivada de Funciones: Potencia/Exponenciales - Platzi
Derivada De Raiz Cuadrada De X DerivadasXIntegrales
Derivada De Raiz Cuadrada De X CONCEPTOS INTRODUCTORIOS AL CALCULO DE DERIVADAS - ppt descargar
Derivada De Raiz Cuadrada De X Math2me - DERIVADA de una función EXPONENCIAL - ejercicio con raíz cuadrada  | Facebook | By Math2me | Yo el #ProfeAndalon te explico paso a paso cómo  derivar a una función exponencial
Derivada De Raiz Cuadrada De X Derivada de la raíz enésima y de la raíz cuadrada - YouTube
Derivada De Raiz Cuadrada De X Ejemplo resuelto: la derivada de ln(√x) usando la regla de la cadena  (video) | Khan Academy
Derivada De Raiz Cuadrada De X Derivada De Una Raiz Youtube – Otosection
Derivada De Raiz Cuadrada De X Vídeo de la lección: Tangentes y normales a la gráfica de una función |  Nagwa
Derivada De Raiz Cuadrada De X 32. Integral de raíz cuadrada de un polinomio (binomio) 【 2022 】 | Hacerlo  Como
Derivada De Raiz Cuadrada De X Ejemplos de derivadas de la funcion exponencial | Superprof
Derivada De Raiz Cuadrada De X BLOQUE 2: herramientas de cálculo diferencial | Matemáticas I-II CEU, Grupo  de Excelencia
Derivada De Raiz Cuadrada De X SOLUTION: La derivada por formulas - Studypool
Derivada De Raiz Cuadrada De X La derivada de x/a + a/x raíz cuadrada de ax + b x raíz cuadrada de a²-x² -  Brainly.lat
Derivada De Raiz Cuadrada De X 32 ideas de Calculo | inecuaciones, trinomio, ecuaciones
Derivada De Raiz Cuadrada De X Formulas de Derivadas en General | PDF
Derivada De Raiz Cuadrada De X FÓRMULAS DEL PRODUCTO Y DEL COCIENTE - PDF Descargar libre
Derivada De Raiz Cuadrada De X Derivada con regla de la cadena y trigonométrica | La Prof Lina M3 by La  Prof Lina M3
Derivada De Raiz Cuadrada De X Matemáticas Aplicadas : Derivadas
Derivada De Raiz Cuadrada De X Derivemos pero volvamos a las gráficas - Consejos algebraicos sobre  derivadas y gráficas clásicas | Coursera
Derivada De Raiz Cuadrada De X Derivadas parciales por regla de la cadena | Ejemplo 1 - YouTube
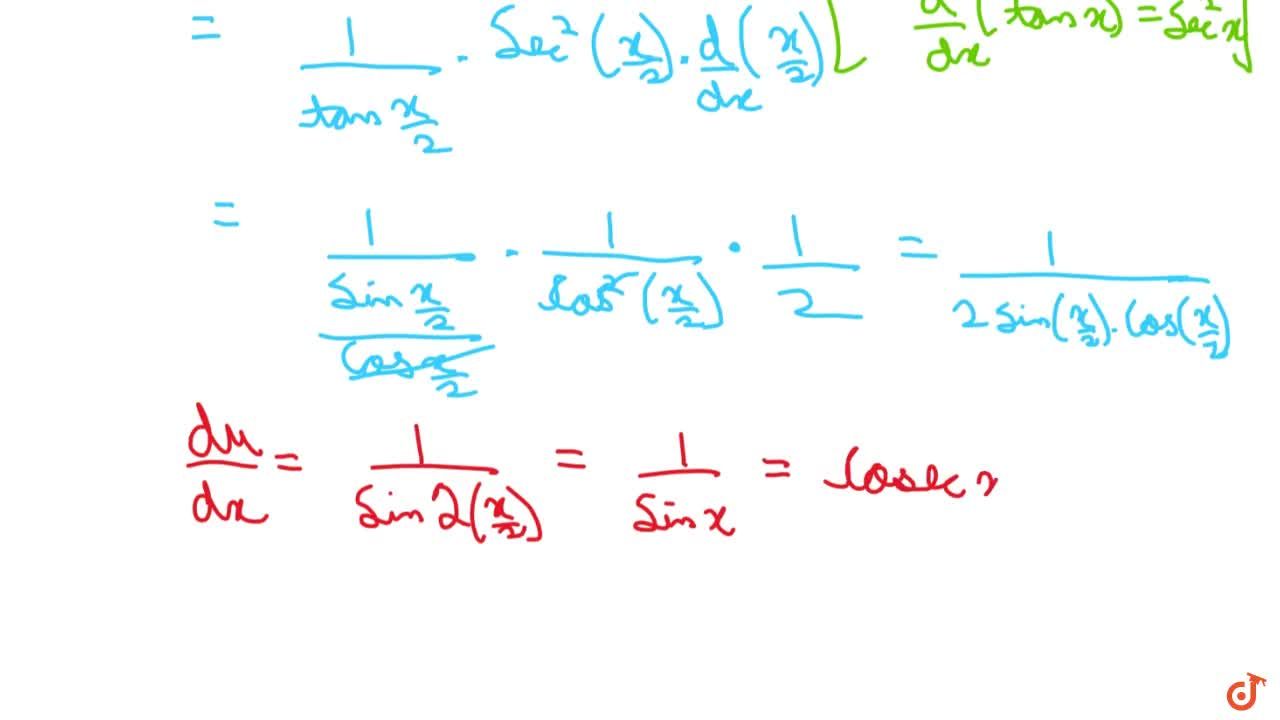
Derivada De Raiz Cuadrada De X Differentiate logsqrt((1-cosx)/(1+cosx)) with respect to x :
Derivada De Raiz Cuadrada De X 1
Derivada De Raiz Cuadrada De X Hallando la derivada: d/dx... - Física Matemáticas al límite | Facebook
Derivada De Raiz Cuadrada De X Booksubjectalgebra fotografías e imágenes de alta resolución - Alamy
Derivada De Raiz Cuadrada De X Cómo resuelves esta ecuación: x² + 8x + 15 = 0? - Quora
Derivada De Raiz Cuadrada De X Descubre los videos populares de derivadas raiz cuadrada | TikTok
Derivada De Raiz Cuadrada De X zambranosanchez.es
Derivada De Raiz Cuadrada De X zdocs.ro
Derivada De Raiz Cuadrada De X 4.Determina la derivada de las funciones utilizando la definición de la  derivada - Brainly.lat
Derivada De Raiz Cuadrada De X BLOQUE 2: herramientas de cálculo diferencial | Matemáticas I-II CEU, Grupo  de Excelencia
Derivada De Raiz Cuadrada De X Derivadas de X | PDF
Derivada De Raiz Cuadrada De X Derivada por Definición - Ej.3 (Raíz Cuadrada) - YouTube
Derivada De Raiz Cuadrada De X LA DERIVADA POR FÓRMULAS - PDF Free Download
Derivada De Raiz Cuadrada De X Calcular derivadas | Khan Academy
Derivada De Raiz Cuadrada De X CONCAVIDAD DE LA GRÁFICA DE UNA FUNCIÓN APLICANDO DERIVADAS EJERCICIOS  RESUELTOS PDF
Derivada De Raiz Cuadrada De X Ejercicios de matemáticas #derivada #funciones #raizcuadrada #inecuaciones  #examenceneval #medicina #ingenieria #calculo #calculodiferencial  #derivacion #math #emmanuelasesorias #problema #aprendeentiktok #matematica  #emmanuelasesorias
Derivada De Raiz Cuadrada De X matematicasjmmm.squarespace.com
Derivada De Raiz Cuadrada De X Vídeo de la lección: La derivada de una potencia | Nagwa
Derivada De Raiz Cuadrada De X Derivada de un cociente con raíz en el denominador - Matemáticas IES
Derivada De Raiz Cuadrada De X Derivada de la función inversa - Wikipedia, la enciclopedia libre
Derivada De Raiz Cuadrada De X Tabla de derivadas para estudiar - Docsity
Derivada De Raiz Cuadrada De X Derivada de Una Raíz | PDF | Exponenciación | Derivado
Derivada De Raiz Cuadrada De X Booksubjectalgebra fotografías e imágenes de alta resolución - Alamy
Derivada De Raiz Cuadrada De X Aplicar derivadas para analizar funciones | Khan Academy
Derivada De Raiz Cuadrada De X 32 ideas de Calculo | inecuaciones, trinomio, ecuaciones
Derivada De Raiz Cuadrada De X Formulario Derivadas
Derivada De Raiz Cuadrada De X -1
Derivada De Raiz Cuadrada De X x + h x + h + 1 x + h + - PDF Descargar libre
Derivada De Raiz Cuadrada De X Descubre los videos populares de derivadas raiz cuadrada | TikTok
Derivada De Raiz Cuadrada De X Vídeo de la lección: Dibujar gráficas usando derivadas | Nagwa
Derivada De Raiz Cuadrada De X elabueloeduca.com