website page counter
New Bliss Logo

Km Hora A Metros Por Segundo


Km Hora A Metros Por Segundo

9 zeilen40 kilómetros por hora = 11. 1111 metros por segundo:

25000 kilómetros por hora =.

Usted está convirtiendo actualmente rapidez unidades a partir del kilómetros por hora a metros por segundo 1 km/h = 0. 27777777777778 m/s

Imprimir tabla < valores inferiores valores superiores >.

El usuario debe rellenar uno de los dos campos y la conversión se realizará automáticamente.

1 kilometro por hora = 0. 2778 metros por segundo fórmula de kilometros por hora a metros por segundo (km/h en m/s).

Metro por segundo = km por hora/3. 6 ≈ km por hora*0. 2778.

1 kilómetro por hora (km/h) in metros/segundo = 0. 0001726 km/h.

10 kilómetro por hora (km/h) in metros/segundo = 0. 00172603 km/h.

50 kilómetro por hora (km/h) in metros/segundo = 0. 00863016 km/h.

100 kilómetro por hora (km/h) in metros/segundo = 0. 01726031 km/h.

Conversión millas por hora en metros por segundo online (mph en âµm/s) conversión:

1mph = 0,447031194444 1 milla por hora es decir 0,447031194444 metros por segundo.

Yottametros por segundo (ym/s) zettametros por segundo (zm/s) exametros por segundo (em/s) petametros por segundo.

1 [kilómetros por hora] = 0. 27777777777778 [metros por segundo] [metros por segundo] = [kilómetros por hora] / 3. 6 para convertir kilómetros por hora a metros por segundo divide kilómetros por hora / 3. 6.

1 kilómetro por hora = 0. 277777777778 metros por segundo.

Para convertir 54 kilómetros por.

Pasar kilómetros por hora a metros por segundo.

Km/h a m/s y m/s a km/h.

1 km/h = 0. 2777777777778 m/s.

1 km/h = 1 km/h.

Convertir a kilómetros por hora (km/h) millas por hora.

1 mi/h = 1. 6093439999999 km/h.

Calculadora de conversión de metros por segundo a kilómetros por hora (m/s a kph) para.

Conversión en línea de kilómetros por hora a metros por segundo (m/s), sistema si.

9 zeilen5000 metros por segundo = 18000 kilómetros por hora:

3 metros por segundo = 10. 8.

1 km/h 2 = 0. 00007716049382716 m/s 2.

Conversión de la base :

Conversión de la base :

1 m/s 2 = 12960 km/h 2.

1 kilómetros por hora × 0. 277777777778 = 0. 277777777778 metros por segundo.

Kilómetros por hora a Metros por segundos (km/h a m/s) RECOPILACIÓN - YouTube

Km Hora A Metros Por Segundo Cómo pasar de km por hora a metros por segundo, y de metros por segundo a km  por hora - YouTube
Km Hora A Metros Por Segundo Kilómetros por hora a Metro por segundos (kmh a m/s) - Parte 3 - YouTube
Km Hora A Metros Por Segundo How to convert kilometers per hour to meters per second very easily  (Example 3) - YouTube
Km Hora A Metros Por Segundo Metro por hora a Kilómetro por hora (m/h a km/h) - YouTube
Km Hora A Metros Por Segundo PASAR KILÓMETROS POR HORA A METROS POR SEGUNDO. Km/h a m/s y m/s a km/h.  FACTORES DE CONVERSIÓN - YouTube
Km Hora A Metros Por Segundo Cómo calcular la Distancia de Detención y comprender cada cifra
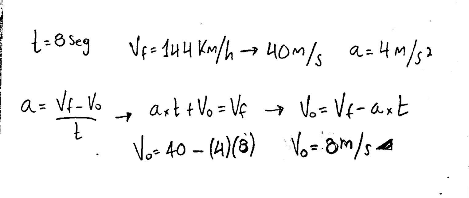
Km Hora A Metros Por Segundo un automovil que parte del reposo alcanza los 90 km por horas en un tiempo  de 50 segundo cual ha sido - Brainly.lat
Km Hora A Metros Por Segundo Cuánto Es 86 Kilómetros por hora En Metros por segundo? - ConviertoYa
Km Hora A Metros Por Segundo 3 formas de calcular la velocidad en metros por segundo
Km Hora A Metros Por Segundo Top 18 80 km en minutos en iyi 2022
Km Hora A Metros Por Segundo Calcular la velocidad promedio, o rapidez (video) | Khan Academy
Km Hora A Metros Por Segundo Despejar el tiempo (video) | Khan Academy
Km Hora A Metros Por Segundo Problemas de movimiento rectilíneo uniforme - Spanish GED 365
Km Hora A Metros Por Segundo Top 19 3 km/h en metros por segundo en iyi 2022
Km Hora A Metros Por Segundo Sistema Internacional de Medidas Factores de conversión - ppt descargar
Km Hora A Metros Por Segundo Desarrolle un algoritmo que lea la velocidad en metros por segundo y la  convierta a kilometraje por - Brainly.lat
Km Hora A Metros Por Segundo Convertir 300 metros/segundos a kilómetros/horas. - Brainly.lat
Km Hora A Metros Por Segundo Ejercicios de Aceleración (MRUA) # 3 - Conoce Sobre Informática
Km Hora A Metros Por Segundo Problemas Resueltos - Docsity
Km Hora A Metros Por Segundo Gui A | PDF | Velocidad | Aceleración
Km Hora A Metros Por Segundo 25 Preguntas | PDF | Sistema Internacional de Unidades | Naturaleza
Km Hora A Metros Por Segundo Fisica Storyboard by icadavid
Km Hora A Metros Por Segundo Sapiencia: Ejercicios de movimiento uniformemente variado
Km Hora A Metros Por Segundo km/h
Km Hora A Metros Por Segundo PPT - CONVERSION DE UNIDADES. PowerPoint Presentation, free download -  ID:2027299
Km Hora A Metros Por Segundo Cómo Convertir de Una Unidad A Otra Sin Problemas | PDF | Science | Ciencia  (general)
Km Hora A Metros Por Segundo Ejercicios 5,6 11,12 - DIAGRAMAS - 5 un DF para un algoritmo que permita  convertir un monto en - StuDocu
Km Hora A Metros Por Segundo Fisica 2.1 - Un atleta corre el maratón de 42 km en 2 horas, 23 minutos y  12 segundos. ¿Cuál - StuDocu
Km Hora A Metros Por Segundo RAZONAMIENTO MATEMÁTICO. 2 - San Marcos Preguntas tipo | Facebook
Km Hora A Metros Por Segundo Top 19 1.2 km en metros en iyi 2022
Km Hora A Metros Por Segundo Conversor de metros por segundo a Kilómetros por hora
Km Hora A Metros Por Segundo 2
Km Hora A Metros Por Segundo ○○ Richard Maok - Signal: +1 (437) 210-4784 on Twitter: "Segundo lugar  desde donde presuntamente se hizo el disparo a la parte de atras del carro  de @petrogustavo https://t.co/gH9rcnPu2O https://t.co/MHeOZbHbIF" / Twitter
Km Hora A Metros Por Segundo Sapiencia: Ejercicios movimiento uniforme
Km Hora A Metros Por Segundo Fisica V | PDF
Km Hora A Metros Por Segundo Un automóvil de 870kg se desplaza a 40 km/h. ¿Cuál será su energía  cinética? Un automóvil de 870kg se - Brainly.lat
Km Hora A Metros Por Segundo MAGNITUDES FÍSICAS y UNIDADES de MEDICIÓN - PDF Descargar libre
Km Hora A Metros Por Segundo Ejercicios de Aceleración (MRUA) # 4 - Conoce Sobre Informática
Km Hora A Metros Por Segundo Cómo calcular la Distancia de Detención y comprender cada cifra
Km Hora A Metros Por Segundo EXAMEN PARCIAL DE FISICA - Docsity
Km Hora A Metros Por Segundo a velocidade de um carro e de 72 km por hora Quantos metros por segundo ele  percorre​ - Brainly.com.br
Km Hora A Metros Por Segundo M1.1. Ejercicios resueltos-sistemas de unidades mecanicas - **UNIVERSIDAD  AUTÓNOMA DE BAJA - StuDocu
Km Hora A Metros Por Segundo Taller e importadora Servicar - #Cuentanos #Comenta| ¿Y tú a cuantos km/h  conduces normalmente?🤷🏻‍♂️🏁🚙 #ViveLaExperienciaServicar💯 | Facebook
Km Hora A Metros Por Segundo EJERCICIOS1 | PDF | Velocidad | Peatonal
Km Hora A Metros Por Segundo Aplicacion de la derivada en el mundo real
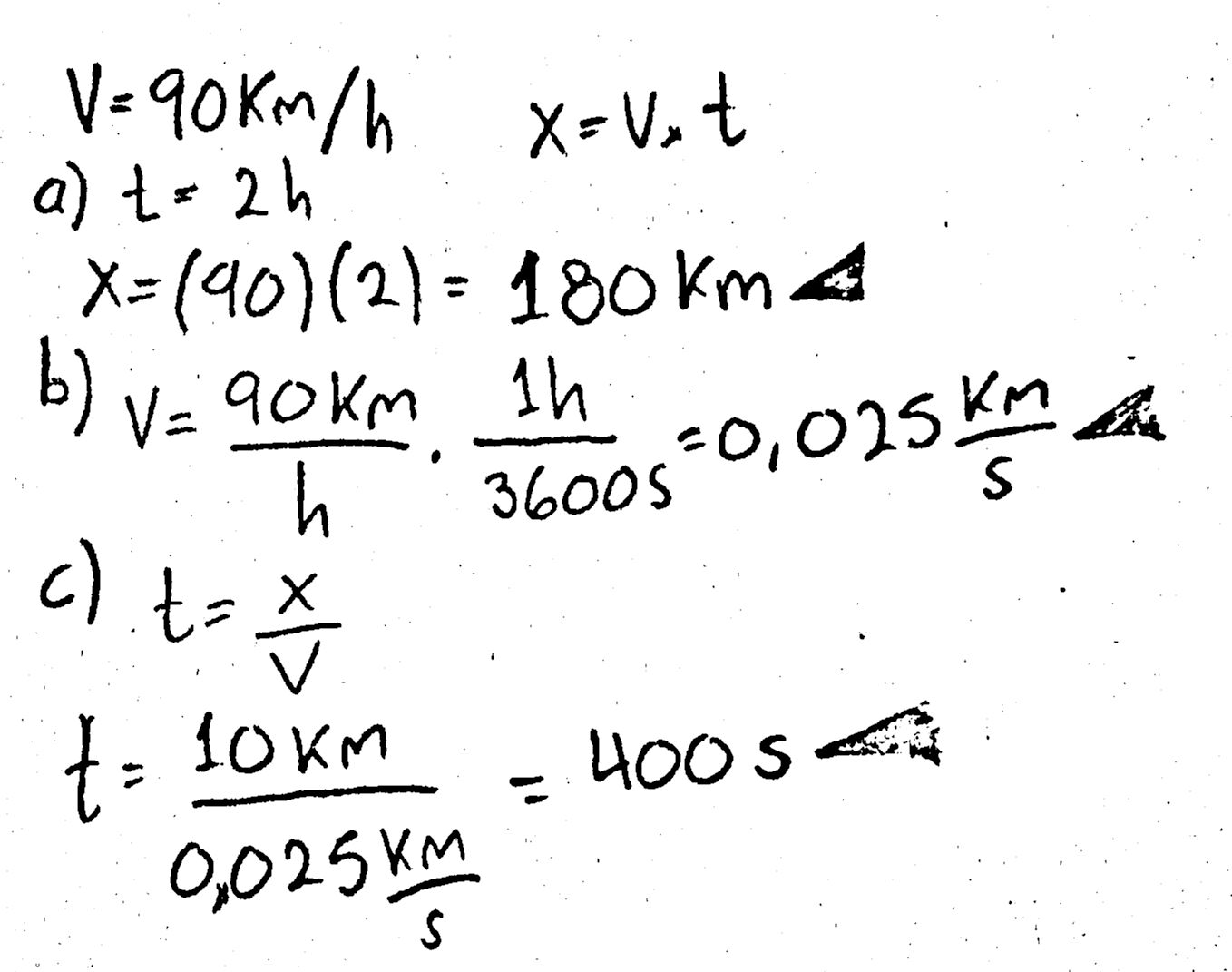
Km Hora A Metros Por Segundo Un auto viaja 90 km/h, ¿qué distancia recorrerá en 15 minutos? - Quora
Km Hora A Metros Por Segundo Sapiencia: Ejercicios de movimiento uniformemente variado
Km Hora A Metros Por Segundo 2
Km Hora A Metros Por Segundo 1
Km Hora A Metros Por Segundo Desarrollar y elegir la respuesta correcta del siguiente ejercicio. El  récord mundial oficial de - Brainly.lat
Km Hora A Metros Por Segundo Aprender a convertir km/h a m/s de una manera sencilla
Km Hora A Metros Por Segundo Fracciones algebraicas - ppt descargar
Km Hora A Metros Por Segundo GUIA DE FISICA #1 Estatica y Dinamica de Los Fluidos | PDF | Fuerza |  Fricción
Km Hora A Metros Por Segundo Movimiento uniformente acelerad - En una carrera cuyo recorrido es recto,  una moto circula durante - StuDocu
Km Hora A Metros Por Segundo Python - Variable con distintos tipos de datos.
Km Hora A Metros Por Segundo Ejercicios Factores de conversion, S.I. Sistema ingles..mp4 on Vimeo
Km Hora A Metros Por Segundo Flavio Castro (@FlavioCastroSay) / Twitter
Km Hora A Metros Por Segundo Factor Unitario de Medida | PDF
Km Hora A Metros Por Segundo Conversión de unidades (MB+) - pdf Docer.com.ar
Km Hora A Metros Por Segundo Sapiencia: Ejercicios movimiento circular uniforme
Km Hora A Metros Por Segundo Unidades de velocidad for Android - APK Download
Km Hora A Metros Por Segundo publica - CALAMEO Downloader
Km Hora A Metros Por Segundo El carro de José recorre 86 km en una hora cuantos metros recorrerá 1  segundo?​ - Brainly.lat
Km Hora A Metros Por Segundo Cuántos metros recorre una motocicleta en un segundo si circula a una  velocidad de 90 km h? - Montar sobre dos ruedas
Km Hora A Metros Por Segundo How to Use the Metric System in Spanish
Km Hora A Metros Por Segundo El guepardo es un felino con características para la rapidez. Su fuerza y  agilidad le permiten alcanzar una rapidez máxima de 100 km/h, la cual sólo  - PDF Free Download
Km Hora A Metros Por Segundo 2
Km Hora A Metros Por Segundo SOLUTION: Practiquemos semana 7 2020 1 v ll - Studypool
Km Hora A Metros Por Segundo Primer Trabajo | PDF | Movimiento (física) | Cantidades fisicas
Km Hora A Metros Por Segundo Online conversion from km/h to m/s online → Online speed converter
Km Hora A Metros Por Segundo Rumbo Al Conocimiento - Recursos para el aprendizaje 10. Movimiento  Rectilíneo Uniforme. | Facebook
Km Hora A Metros Por Segundo Ejercicios resueltos-de-energia-potencial-y-cinetica(1)
Km Hora A Metros Por Segundo Ejercicios Resueltos DE Fisica PARA Ejercitar - EJERCICIOS RESUELTOS DE MRU  1- A qué velocidad debe - StuDocu
Km Hora A Metros Por Segundo Mantener DISTANCIA entre vehículos, 2... - Autopistas del Sol | By  Autopistas del Sol | Mantener DISTANCIA entre vehículos, 2 segundos  reglamentaria ó 5 segundos recomendada te permitirá reaccionar a tiempo  ante un siniestro 🤙 @Cecaitra...
Km Hora A Metros Por Segundo transforme m/s em km/h transformar metros por segundo em kilometros por hora.  - Brainly.com.br
Km Hora A Metros Por Segundo Unidades de velocidad y aceleración for Android - APK Download
Km Hora A Metros Por Segundo 2
Km Hora A Metros Por Segundo Captan imagen de un asteroide que pasará cerca a la Tierra
Km Hora A Metros Por Segundo Ejemplo resuelto: problemas de movimiento (integrales definidas) (video) |  Khan Academy
Km Hora A Metros Por Segundo EJEMPLOS DE MRU
Km Hora A Metros Por Segundo Aplicación de las derivadas en la vida cotidiana - ppt descargar
Km Hora A Metros Por Segundo FORMULARIO FISICA
Km Hora A Metros Por Segundo Conversiones de unidades - Docsity
Km Hora A Metros Por Segundo Cuadernillo integrador FCM 6to Teoría de apoyo impresión opcional Leandro  Raris - pdf Docer.com.ar
Km Hora A Metros Por Segundo Rommel Dimas Teves Torres CAPACIDAD VIAL Y SEMÁFORO UNIVERSIDAD TECNOLOGICA  DE LOS ANDES Facultad de Ingeniería Escuela Profesional de Ingeniería  Civil. - ppt descargar
Km Hora A Metros Por Segundo Manual Proy Geometrico Sct 1991 Parte I - CALAMEO Downloader
Km Hora A Metros Por Segundo Sapiencia: Ejercicios movimiento uniforme
Km Hora A Metros Por Segundo matematicasiesoja.files.wordpress.com
Km Hora A Metros Por Segundo Tarea semana 1 Amilcar Josue Granados Hernandez SMII161222 - Guía de  Ejercicios – Generalidades: - StuDocu
Km Hora A Metros Por Segundo images.esellerpro.com
Km Hora A Metros Por Segundo Cuántos metros recorre una motocicleta en un segundo si circula a una  velocidad de 200km h? - Vida de dos ruedas
Km Hora A Metros Por Segundo 2
Km Hora A Metros Por Segundo 1.2 CONVERSIÓN DE UNIDADES - PDF Free Download
Km Hora A Metros Por Segundo PROPORCIONALIDAD, RESUMEN - Docsity
Km Hora A Metros Por Segundo Centro Educativo del Nivel Medio Domingo Faustino Sarmiento Director:  Rafael Amauris,M.A Curso: Segundo “C” Asignatura: Física. - ppt descargar
Km Hora A Metros Por Segundo ≡ ISSUU ᐈ La Ciencia del Movimiento ebook pdf
Km Hora A Metros Por Segundo Ciencias 10 u2 | Vebuka.com
Km Hora A Metros Por Segundo Mediciones técnicas y vectores - PDF Descargar libre
Km Hora A Metros Por Segundo unidad 4 by Maria Angeles ordoñez - Issuu
Km Hora A Metros Por Segundo PROBLEMAS FISICA 1 BACHILLERATO - Docsity
Km Hora A Metros Por Segundo Así cambian las distancias de frenado en asfalto mojado comparado al seco –  Publimetro Chile